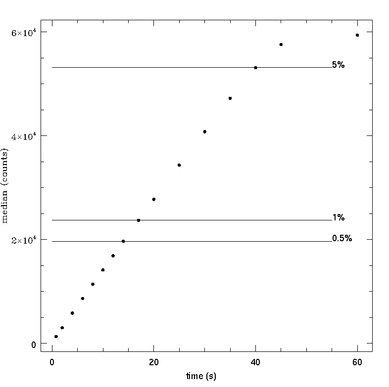
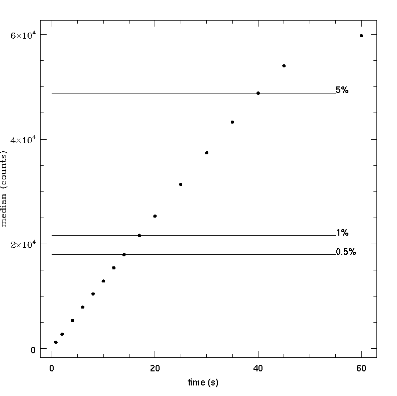
Detector non-lineality and saturation.-

 

 

These are the results:

Statistic for up-left quadrant:
Integration time 
Y(calc)
Y(exper)
Dispersion
12
16208
16036
1.0%
14
18866
18637
1.2%
17
22872
22452
1.8%
30
40195
38772
3.6%
40
53521
50446
6.1%

Statistics for down-left quadrant:
Integration time 
Y(calc)
Y(exper)
Dispersion
14
19748
19671
0.4%
17
23923
23690
1.0%
20
28122
27737
1.3%
30
42079
40806
3.2%
40
56036
53123
5.2%

Statistics for up-right quadrant:
Integration time 
Y(calc)
Y(exper)
Dispersion
14
18016
17922
0.5%
17
21829
21588
1.1%
25
31997
31345
2.1%
35
44706
43267
3.3%
40
51063
48786
4.6%

Statistics for down-right quadrant:
Integration time 
Y(calc)
Y(exper)
Dispersion
14
18907
18785
0.6%
17
22925
22640
1.2%
25
33633
32880
2.2%
35
47022
44993
4.5%
40
53727
50676
6.0%

Statistics for whole frame:
Integration time 
Y(calc)
Y(exper)
Dispersion
14
18837
18738
0.5%
17
22828
22531
1.3%
25
33469
32829
1.9%
30
40120
39061
2.7%
40
53420
50752
5.3%

These are the fitting parameters of a third order polynomial for each quadrant:
 
Quadrant
Midpt (x:=time)
Correlation
1
-0.26x3+13.2x2+1121x+805
0.9997
2
-0.42x3+24.1x2+1050x+1109
0.9977
3
-0.22x3+11.4x2+1094x+742
0.9998
4
-0.30x3+17.29x2+1005x+1897
0.9994
Frame
-0.27x3+13.9x2+1118x+829
0.9997

If you want to get graphics click here

 Up-left quadrant
 Down-left quadrant
 Up-right quadrant
 Down-right quadrant
  Full Array